LTspice 中で関数を定義するには、SPICE directive としてとします。定義した関数を素子のパラメータとして呼び出して使うには、素子値に { } をつけてその中身を LTspice に評価させます。.func function_name(parameter1, parameter2, ...) { formula }また、LTspice では次の定数が利用できます。{ function_name(parameter1, parameter2, ...) }回路例 (容量分割整合回路)
- E : 2.7182818284590452354 — ネイピア数
- Pi : 3.14159265358979323846 — 円周率
- K : 1.3806503e-23 — ボルツマン定数
- Q : 1.602176462e-19 — 素電荷
Download tapped-capacitor-matching.asc, the schematic file for the LTspice XVII.
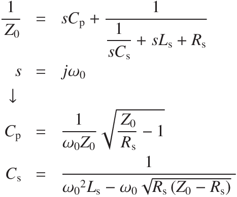
使用した数式
容量分割整合回路の周波数特性 (参考)
計算通り f0 = 1 MHz で Rs の電流値が最大になっているのが見て取れます。
回路解説 — イミッタンスチャート上での軌跡 (参考)
回路例では Rs + Ls のインピーダンス (上図中 DP1) を Cs で 1/Z0 の定アドミタンス円上の点 (DP2) に移し、
Cp で誘導性のサセプタンス分を相殺して信号源インピーダンス Z0 の点 (DP3) に整合させています。
整合回路シミュレーション
Note : S11 が -∞ になるのを避けるために、各キャパシタに 1 mΩ の ESR を追加しています。



© 2000 Takayuki HOSODA.