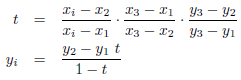
- REG X : x
- REG 1 : x1
- REG 2 : x2
- REG 3 : x3
- REG 4 : y1
- REG 5 : y2
- REG 6 : y3
- FLAG 1
- LBL D : entry point
- REG 1~3: x values
- REG 4~6: y values
- REG Y : x
- REG X : y
RI - Rev.1.10 Sep. 30 2011 0001-42,21,13 LBL C 0002- 36 ENTER 0003- 36 ENTER 0004- 36 ENTER 0005- 45 3 RCL 3 0006- 30 - 0007- 43 16 ABS 0008- 34 x<>y 0009-45,30, 1 RCL- 1 0010- 43 16 ABS 0011- 30 - 0012-43, 5, 1 CF 1 0013-43,30, 1 TEST 1 // x>0? 0014-43, 4 1 SF 1 0015- 33 R↓ 0016-45,30, 3 RCL- 3 0017- 45 2 RCL 2 0018-45,30, 1 RCL- 1 0019- 20 × 0020- 45 5 RCL 5 0021-45,30, 6 RCL- 6 0022- 20 × 0023- 34 x<>y 0024-45,30, 1 RCL- 1 0025- 45 2 RCL 2 0026-45,30, 3 RCL- 3 0027- 20 × 0028- 45 5 RCL 5 0029-45,30 4 RCL- 4 0030- 20 × 0031-43, 6, 1 F? 1 0032- 34 x<>y 0033- 10 ÷ 0034- 34 x<>y 0035- 45 6 RCL 6 0036- 45 4 RCL 4 0037-43, 6, 1 F? 1 0038- 34 x<>y 0039- 43 33 R↑ 0040- 20 × 0041- 43 36 LSTx 0042- 33 R↓ 0043- 30 - 0044- 1 1 0045- 43 33 R↑ 0046- 30 - 0047- 10 ÷ 0048- 43 32 RTN
Rational interpolation ![]()
Note Interpolation
Common logarithmsReverse interpolation
Temperature V.S. Resistance characteristic of an NTC thermistorOperation 2.8 STO 1 3.0 STO 2 3.2 STO 3 0.44715803 STO 4 0.47712125 STO 5 0.50514998 ST0 6 3.1 GSB C12.478 STO 1 8.068 STO 2 5.353 STO 3 20 STO 4 30 STO 5 40 STO 6 10.000 GSB CResults Y: 3.100000000 X: 0.491365525Y: 10.00000000 X: 24.94306610
Online calculator - Rational interpolation and Lagrange interpolation
RI - Rational interpolation program for the HP 42S
Ostrowski's method - a root-finding method



© 2000 Takayuki HOSODA.
Powered by