Ostrowski's method
Japanese Japanese edition is here.

Ostrowski's method is a root-finding method that uses rational function to the reverse-interpolation as Padé Approximation.
It is superior to the other method in terms of stability or convergence speed.

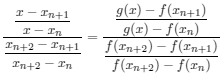
When 1st / 1st order rational expression (1) is used to the reverse-interporation,
… (1)
It is expressed as following expression (2)
… (2)
when the right hand of the expression (2) is arranged, the part α δ - β γ are elliminated and the following relation (3) is obtained.
… (3)
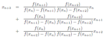
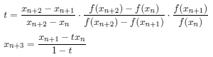
substitute g(x) = 0 into expression (3), close approximation of the root is obtained.

If the denominator of the left hand of the expression (3) is expressed by t, The approximation of the root xn+3 becomes the following expressions.

… (4)


… (5)

For a zero of multiplicity 1, the convergence is quadratic in a neighborhood of the zero.

Example C program
list.1

/* ost - Solve the equation f(x) = 0 to within desired error value for x.
 *     Rev.3.14: Sep. 3, 2011
 *     Copyright(c) 1998-2011 Takayuki HOSODA, All rights reserved.
 *     http://www.finetune.jp/~lyuka/technote/fract/ost.html
 *
 * SYNOPSIS
 *     #include <math.h>
 *     #include <stdlib.h>
 *     #include <float.h>
 *
 *     double
 *     ost(double guess1, double guess2, double (*func)(), double epsilon, double *x);
 *
 * RETURN VALUE
 *     The ost() function returns the result code, and stores a root to the x
 *     when it found,
 *     0 : A root found.
 *     1 : An approximate solution within the specified epsilon found. |f(x)| <= epsilon
 *     2 : The search reached to the calculation limit. x_n+1 == x_n
 *     3 : The search concentrated in a local flat region of the function. f(x_n+2) == f(x_n+1)
 *     4 : The search reached to the calculation limit. |f(x_n+1)| > |f(x_n)|
 *     5 : No root found while specified iteration.
 *     6 : The search diverged.
 *     7 : Error. Bad guess or f(x) is constant.
 *     8 : Error. Bad argument, Iteration is negative.
 *     9 : Error. Bad argument, func() points NULL.
 *    10 : Error. Bad argument, x points NULL.
 */

#include <math.h>
#include <stdlib.h>
#include <float.h>
#ifdef DEBUG
#include <stdio.h>
#endif

#define MAXPVT             31
#define M2E31              2.147483648e9
#define EXP_THRESHOLD      1e-8
#define EXP_FACTOR         -1.5
#ifndef DBL_EPSILON
#define DBL_EPSILON        2.2204460492503131E-16
#endif

double nextc(a, b) double a, b; { return a + (b - a) * (1.0 + 14.0 * ((double)random() / M2E31)) / 16.0; }
double delta(a, b) double a, b; { return b == 0.0 ? fabs(a) : (fabs(a) - fabs(b)) / fabs(b); }
double minx(a, b, c, d, e, f) double a, b, c, d, e, f; { return fabs(f) < fabs(e) ? fabs(f) < fabs(d) ? c : a : fabs(e) < fabs(d) ? b : a; }

int
ost(guess1, guess2, func, epsilon, iteration, x)
    double          guess1;
    double          guess2;
    double          (*func)(double);
    double          epsilon;
    int             iteration;
    double          *x;
{
    double          a, b, c, d, e, f, t;
    int             i;
    int             p = 0;
    double          q = 0.0;
    double          r0 = 0.0;
    static double   r1 = 0.0;
    static double   r2 = 0.0;
    int             xp =0;
    int             ft =0;

    if (func == NULL) return 10;
    if (x == NULL) return 9;
    if (0 >= iteration) { return 8; }
    a = guess1; b = guess2;
    b = (a == b) ? a == 0 ? 0.01 : a * 1.01 : b;
    if (0.0 == (d = (*func)(a))) { *x = a; return 0; }
    if (fabs(d) <= epsilon)  { *x = a; return 1; }
    if (0.0 == (e = (*func)(b))) { *x = b; return 0; }
    if (fabs(e) <= epsilon)  { *x = b; return 1; }
    c = (a + b) * 0.5; f = (*func)(c);
    r2 = c; r1 = 0.0;
    for (i = 0; i < iteration; i++) {
        if (0.0 == f) { *x = c; return 0; }
        if (fabs(f) <= epsilon)  { *x = c; return 1; }
        if (c == a) {
            if ((p > MAXPVT) || (ft >= 2)) { *x = minx(a, b, c, d, e, f); return 2;}
            ft++; p++; f = (*func)(c = nextc(a, b)); continue;
        }
        if (fabs(f) == INFINITY || f == NAN) {
            if (p > MAXPVT) { *x = minx(a, b, c, d, e, f); return 6; }
            i++; a = (a + b) * 0.5; d = (*func)(a);
            p++; c = nextc(a, b); f = (*func)(c); continue;
        }
        if (i >= 5 && (fabs(f) >= fabs(e) * 10.0)) {
            if (p > MAXPVT) { *x = minx(a, b, c, d, e, f); return 5; }
            if (fabs(d) > fabs(e) * 10.0) { i++; a = (a + b) * 0.5; d = (*func)(a); }
            p++; c = nextc(a, b); f = (*func)(c); continue;
        }
        if (ft >= 2 && xp != 3 && (fabs(f) > fabs(e)) && (EXP_THRESHOLD >= fabs(e)) && (i > p + 3)) { *x = minx(a, b, c, d, e, f); return 4; }
        if ((f == e) || (f == d)) {
            if (p > MAXPVT) {*x = c; return 7;}
            if (q == 0.0) q = -fabs(b - a);
            if (EXP_THRESHOLD < fabs(f)) {
                if (EXP_THRESHOLD > fabs(f + f - e - d)) { b = (f * e < 0.0) ? nextc(b, c) : b + (q *= EXP_FACTOR); e = (*func)(b); p++; continue; }
                p++; c = nextc(a, b); f = (*func)(c); continue;
            } else {
                q = 0.0;
            }
            if (f == e && DBL_EPSILON  >= delta(c, a)) {*x = fabs(f) < fabs(d) ? c : a; return 2;}
            if (f == d && DBL_EPSILON  >= delta(c, b)) {*x = fabs(f) < fabs(e) ? c : b; return 2;}
            if (ft++ >= 2) {*x = minx(a, b, c, d, e, f); return 3; }
            p++; c = nextc(a, b); f = (*func)(c); continue;
        }
        t = e * (f - d) * (c - b) / ( d * (f - e) * (c - a)); t  = (t * a - b) / (t - 1.0); /* Ostrowski's method */
        if (t == c) {
            if (ft >= 2) {*x = minx(a, b, c, d, e, f); return 2;}
            t += (ft == 1) ? -t * DBL_EPSILON : t * DBL_EPSILON; /* finetune */
        } else {
            if (fabs(d) > fabs(e) && fabs(e) > fabs(f)) ft = 0.0;
        }
        if ( 5.0 * fabs(fabs(e) - fabs(f)) < fabs(e) + fabs(f) && f * e < 0.0) {
            t = (f * b - e * c) / (f - e); /* Use bisection method */
        } else if (0 == xp) {
            r0 = r1; r1 -= (r1 / 0.53 + (c - b) / (b - a) - r2) * 0.5; r2 -= r0 * 0.5;  /* IIR filter */ 
            if ((0.5 < r2 && r2 < 1.0 && i >= 15 && EXP_THRESHOLD >= fabs(f)) && 0.01 > fabs(r1 / r2)) {
                xp = 3; t = c - (c - b) * (c - b) / (c - 2 * b + a); /* Use Aitken method instead */
            }
        } else {
            xp--;
        }
        a = b; b = c; c = t; d = e; e = f; f = (*func)(c);
    }
    *x = minx(a, b, c, d, e, f); return 5;
}

#ifdef DEBUG
#include <stdio.h>
#define ITERATION 100
#define EPSILON  2.2204460492503131E-16

double f0(x) double x; { return exp(x) - 3 * x * x; }
#ifdef DEBUG_MORE
double f1(x) double x; { return x * x * (x + 4) - 15.0; }
double f2(x) double x; { return sin(x) - x / 2.0; }
double f3(x) double x; { return exp(-x) + cos(x); }
double f4(x) double x; { return 10.0 * x * exp(-(x * x)) - 1.0 ; }
double f5(x) double x; { return atan(x) - x + 1.0; }
double f6(x) double x; { return tan(x) - 1.0 / x ; }
#endif
double f7(x) double x; { double t = x - 1.0; return (t * t * t * t * t) ; }

double
fs(x)
    double          x;
{
    double          t;
    double          p = 1e-5;

    t = x + 273.15;
    if (t < 0) return -p;
    return exp(((16.635794 + 2.433502 * log(t) + 0.00001673952 * t * t) - 0.02711193 * t)
               - 6096.9385 / t) * 100.0 - p;
}

int
main()
{
    double        root, a, b, eps;
    int           r;
    extern double f();

    printf("main:f0: exp(x) - 3 * x^2 == 0\n");
    r= ost(a=3.0, b=4.0, f0, eps=EPSILON, ITERATION, &root);
    printf("main:f0:[%.16g, %.16g], eps=%g,  f0(%.16g) = %.16g, r=%d\n", a, b, eps, root, f0(root), r);
    printf("main:f0: exp(x) - 3 * x * x == 0\n");
    r= ost(a=-1.0, b=0.0, f0, eps=EPSILON, ITERATION, &root);
    printf("main:f0:[%.16g, %.16g], eps=%g,  f0(%.16g) = %.16g, r=%d\n", a, b, eps, root, f0(root), r);
    printf("main:f0: exp(x) - 3 * x^2 == 0\n");
    r= ost(a=0.0, b=1.0, f0, eps=EPSILON, ITERATION, &root);
    printf("main:f0:[%.16g, %.16g], eps=%g,  f0(%.16g) = %.16g, r=%d\n", a, b, eps, root, f0(root), r);
    printf("main:fs: 'Water saturation pressure (Sonntag) == 1e-5'\n");
    r= ost(a=-273.15, b=100.0, fs, eps=EPSILON, ITERATION, &root);
    printf("main:fs:[%.16g, %.16g], eps=%g,  fs(%.16g) = %.16g, r=%d\n", a, b, eps, root, fs(root), r);
    printf("main:f7: (x - 1)^5 == 0\n");
    r= ost(a=0.0, b=1.5, f7, eps=1e-100, ITERATION, &root);
    printf("main:f7:[%.16g, %.16g], eps=%g,  f7(%.16g) = %.16g, r=%d\n", a, b, eps, root, f7(root), r);
    return 0;
}
#endif


Execution results of list.1 compiled with -DDEBUG option.

main:f0: exp(x) - 3 * x^2 == 0
main:f0:[3, 4], eps=2.22045e-16,  f0(3.733079028632814) = 3.83026943495679e-15, r=2
main:f0: exp(x) - 3 * x * x == 0
main:f0:[-1, 0], eps=2.22045e-16,  f0(-0.4589622675369485) = -7.215365457891032e-17, r=1
main:f0: exp(x) - 3 * x^2 == 0
main:f0:[0, 1], eps=2.22045e-16,  f0(0.9100075724887091) = -2.244298497044994e-16, r=2
main:fs: 'Water saturation pressure (Sonntag) == 1e-5'
main:fs:[-273.15, 100], eps=2.22045e-16,  fs(-125.4179201811381) = -1.001192943654583e-18, r=1
main:f7: (x - 1)^5 == 0
main:f7:[0, 1.5], eps=1e-100,  f7(1) = 0, r=0

for more : Convergence details of the test functions
APPENDIX.A
Step response of the IIR filter used in the program shown in list.1
APPENDIX.B

As the Ostrowski's method is a kind of root finding algorithm that uses reverse-interpolation to approximate the root,
any other interpolation, such as Lagrange interpolation, can be used as a root finding algorithm.

If you use that of n=3, a recurrence equation,
… (6)
can be used instead of Ostrowski's recurrence equation (4) and (5)

This can be tested replacing a line in list.1
t  = (t * a - b) / (t - 1.0);
by
t  = a * e * f * (f - e) - b * d * f * (f - d) + c * d * e * (e - d);
t /= (f - e) * (f - d) * (e - d);

Though the convergence of the method shown above is almost quadratic (order of about 1.8) for a zero of multiplicity 1 in a neighborhood of the zero,
it's NOT recommended as it tends to diverge when the guess is not near the zero.
IMHO, the most important thing as a root finding algorithm is not the order of convergence, but the stability of convergence, i.e. ability to find a root with very few chance of divergence.


REFERENCE
Ostrowski Alexander M., 1966, Solutions of Equations and Systems of Equations, 2nd ed. (New york Academic Press), Chapter 12.
Ostrowski Alexander M., 1973, Solution of Equations in Euclidean and Bonach Spaces, Academic Press, New York, 3rd ed.

SEE ALSO
SOLVE alternative for HP 42S
riali - Rational interpolation and Lagrange interpolation
Online calculator - Synthesize/Analyze microstrip transmission line
Padé approximation (Japanese written in Japanese)

EXTERNAL LINKS
Alexander Markowich Ostrowski 1893-1986
Ridders' method
Root-finding algorithm
Seki Takakazu 1642-1708
Series acceleration - Aitken method
Netlib - A correction of mathematical software, papers, and databases
Numerical Recipes - The Art of Scientific Computing
Some improvements of Ostrowski's method
MoHPC, HP Forum Archive
190798 : question for lyuka and the Ostrowski method
191098 : Lyuka and the Ostrowski method's for Root Seeking
191462 : Results of new root-seeking methods

www.finetune.co.jp [Mail] yokohamaat finetune dotco dotjp © 2000 Takayuki HOSODA. Powered by
 Finetune