riali - Rational interpolation and Lagrange interpolation
Rational interpolation is suitable for interpolating logarithmic or exponential relations of the data points
e.g. NTC thermistor characteristics than Lagrange interpolation, with its better accuracy and less computational complexity.

Example C program

list.1
/* riali : An interpolation program. Rev.1.11 : Oct. 3, 2011
 *    Copyright (c) 2011, Takayuki HOSODA. All rights reserved.
 *
 * SYNOPSIS
 *     #include <math.h>
 *
 *     double
 *     riali(double x[3], double y[3], double xi, int mode)
 *
 * RETURN VALUE
 *    The riali() function return NaN on errors.
 *
 * DESCRIPTION
 *    The riali() calculate univariate interpolation for xi from a set of three data points.
 *    The argument mode specifies interpolation method by one of the followings,
 *        AIP_RATIONAL : 1st/1st order rational interpolation 
 *        AIP_LAGRANGE : 2nd order Lagrange interpolation
 *        AIP_AUTO     : use rational interpolation when the set of data points is
 *                     monotonic, otherwise use Lagrange interpolation instead.
 * LINK
 *    http://www.finetune.jp/~lyuka/technote/riali/
 */

#include <math.h>

#define AIP_AUTO     0
#define AIP_RATIONAL 1
#define AIP_LAGRANGE 2

double
riali(x, y, xi, mode)
    double x[3];
    double y[3];
    double xi;
    int    mode;
{
    register double t, u;

    if (y[0] == y[1] && y[1] == y[2]) return y[0];
    if (mode == AIP_AUTO) {
        if (x[0] > x[1]) {t = x[0]; x[0] = x[1]; x[1] = t; t = y[0]; y[0] = y[1]; y[1] = t;}
        if (x[1] > x[2]) {t = x[1]; x[1] = x[2]; x[2] = t; t = y[1]; y[1] = y[2]; y[2] = t;}
        if (x[0] > x[1]) {t = x[0]; x[0] = x[1]; x[1] = t; t = y[0]; y[0] = y[1]; y[1] = t;}
        mode = ((y[0] < y[1] && y[1] < y[2]) || (y[0] > y[1] && y[1] > y[2])) ?
            AIP_RATIONAL : AIP_LAGRANGE;
    }
    if (mode == AIP_RATIONAL) {
        t = (xi - x[1]) * (x[2] - x[0]) * (y[2] - y[1]);
        u = (xi - x[0]) * (x[2] - x[1]) * (y[2] - y[0]);
        if ((t == 0.) && (u == 0)) return NAN;
        if ( t == 0.) return y[1];
        if ( u == 0.) return y[0];
        if (fabs(x[1] - xi) < fabs(x[0] - xi)) {
            t /= u; return (y[0] * t - y[1]) / (t - 1.0);
        }
        u /= t; return (y[1] * u - y[0]) / (u - 1.0);
    } else {
        if (x[0] == x[1] || x[1] == x[2] || x[2] == x[0]) return NAN;
        t  = y[0] * (xi - x[1]) * (xi - x[2]) / ((x[0] - x[1]) * (x[0] - x[2]));
        t += y[1] * (xi - x[0]) * (xi - x[2]) / ((x[1] - x[0]) * (x[1] - x[2]));
        t += y[2] * (xi - x[0]) * (xi - x[1]) / ((x[2] - x[0]) * (x[2] - x[1]));
        return t;
    }
}

#ifdef DEBUG
#include <stdio.h>

int
main()
{
    int i;
    double xi, yi;
    /* Resistance V.S. Temperature table of an NTC thermistor */
    double x[6] = { 19.847, 12.478,  8.068,  5.353,  3.635 };
    double y[6] = { 10.000, 20.000, 30.000,  40.00, 50.000 };

    printf("Res.\tTemp.\tRelative error\n");
    /*Extrapolation*/
    yi = ri(&x[1], &y[1], xi = 15.679); printf("%g\t%g\t%g\n", xi, yi, yi/15. -1.);
    /*Interpolation*/
    yi = ri(&x[1], &y[1], xi = 12.478); printf("%g\t%g\t%g\n", xi, yi, yi/20. -1.);
    yi = ri(&x[1], &y[1], xi = 10.000); printf("%g\t%g\t%g\n", xi, yi, yi/25. -1.);
    yi = ri(&x[1], &y[1], xi =  8.068); printf("%g\t%g\t%g\n", xi, yi, yi/30. -1.);
    yi = ri(&x[1], &y[1], xi =  6.552); printf("%g\t%g\t%g\n", xi, yi, yi/35. -1.);
    yi = ri(&x[1], &y[1], xi =  5.353); printf("%g\t%g\t%g\n", xi, yi, yi/40. -1.);
    /*Extrapolation*/
    yi = ri(&x[1], &y[1], xi =  4.399); printf("%g\t%g\t%g\n", xi, yi, yi/45. -1.);
    return 0;
}
#endif
Execution results of list.1 compiled with -DDEBUG option.
Execution results Temperature V.S. Resistance characteristic of an NTC thermistor
Res.    Temp.   Relative error
15.679  15.2828 0.0188535
12.478  20      0
10      24.9431 -0.00227736
8.068   30      0
6.552   35.0529 0.00151246
5.353   40      0
4.399   44.7465 -0.00563339
ri ntc

Online interpolation program

Sample points
X1 : Y1 :
X2 : Y2 :
X3 : Y3 :
Interpolation
Xi : Yi :

Download

riali-1.11.js (3600 byte, JavaScript program and input form used in this page.)

Formulas used

Rational interpolation
rational interpolation
Lagrange interpolation
Lagrange interpolation

Appendix

Interpolation and its error comparison of various transcendental functions
sin(x) tan(x)
riali-sin riali-tan
log(x + 1) atan(x)
riali-log riali-atan
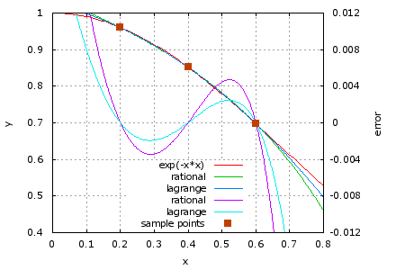
exp(-x) exp(-x2)
riali-exp riali-gauss

SEE ALSO

  • Ostrowski's method
  • HP 15C - Rational interpolation
  • HP 42S - Rational interpolation

  • www.finetune.co.jp [Mail] yokohamaat finetune dotco dotjp © 2000 Takayuki HOSODA. Powered by
     Finetune