for the HP 15C
Synthesize/Analyze microstrip transmission line (for the HP 15C)




Usage

Synthesize	X [Ω] : [f] [A]
Analyze		X [mm] : [f] [B]
s→Zdiff		X [mm] : [f] [D]

Input


r7 : εr ‐ relative permittivity
r8 : h ‐ dielectric height [mm]
r9 : t ‐ conductor thickness [mm]
x : Z ‐ charactoristic impedance [Ω]		(Synthesize)
  | w ‐ microstrip line width [mm]		(Analyze)
  | s ‐ side gap [mm]				(s→Zdiff)

Output


r i : 1 / √εreff ‐ velocity of propagation
r 0 : Z ‐ charactoristic impedance [&Omega]
r 1 : w ‐ microstrip line width [mm]
y : 1 / √εreff - velocity of propagation	(Synthesized, Analized)
  | s ‐ side gap [mm]				(Z →Zdiff)
x : w ‐ microstrip line width [mm]		(Synthesized)
  | Z  ‐ Characteristic impedance [Ω]		(Analyzed)
  | Zd ‐ Differential impedance [Ω]		(Zo→Zdiff)

Resources used


LBL  A  : Synthesize
LBL  B  : Analyze
LBL  D  : Z →Zdiff
LBL .0 : Subroutine .0 
LBL .1 : Subroutine .1 
r i : 1 / √εreff ‐ velocity of propagation
r 0 : Z ‐ charactoristic impedance [&Omega]
r 1 : w ‐ microstrip line width [mm]
r 7 : εr ‐ relative permittivity
r 8 : h ‐ dielectric height [mm]
r 9 : t ‐ conductor thickness [mm]

Program list

uZW ‐ Rev.1.78 : Nov. 29, 2012 - Copyright(c) 1998-2012 Takayuki HOSODA, All rights reserved.
Synthesize Analyze Effective width Characteristic impedance
error ≤ 2% [1]
velocity of propagation Differential impedance
000-
001-42,21,11
002-    44 0
003-       1
004-       0
005-45,20, 8
006-      48
007-       6
008-45,40, 7
009-      11
010-45,20, 0
011-       6
012-       9
013-      10
014-      12
015-      10
016-      36
017-45,30, 9
018-42,10,.0
019-   44  1
020-   32 .1
021-   45  1
022-   43 32

LBL A
STO 0
10

RCL× 8 
.6

RCL+ 7
√x
RCL× 0
69

÷
e↑x
÷
ENTER
RCL- 9
SOLVE .0
STO  1
GSB .1
RCL  1
RTN

023-42,21,12
024-   32 .0
025-44,40, 0
026-   32 .1
027-   45  0
028-   43 32

LBL B  
GSB .0
STO+ 0
GSB .1
RCL 0
RTN


029-42,21,.0
030-   44  1
031-       4
032-45,20, 8
033-   45  8
034-       1
035-      48
036-       1
037-45,20, 9
038-45,40, 1
039-   43 26
040-      20
041-      10
042-   43 11
043-       1
044-      40
045-      11
046-45,20, 9
047-      10
048-   43 12
049-       1
050-      40
051-45,20, 9
052-   43 26
053-      10
054-   45  7
055-      36
056-      40
057-      15
058-      48
059-       5
060-      40
061-      20
062-   43 36
063-   43 26
064-   43 11
065-       4
066-   43 33
067-45,40, 1

LBL .0
STO  1
4
RCL× 8 
RCL 8
1.1


RCL× 9
RCL+  1
π
×
÷
x²
1
+
√x
RCL× 9
÷
LN
1
+
RCL× 9
π
÷
RCL 7
ENTER
+
1/x
.5

+
×
LSTx
π
x²
4
R↑
RCL+  1

068-      10
069-45,20, 8
070-      36
071-      33
072-      33
073-      20
074-       8
075-45,10, 7
076-       1
077-       4
078-      40
079-       1
080-       1
081-      10
082-   44 33
083-      20
084-      36
085-      33
086-   43 11
087-      40
088-      11
089-   43 33
090-      40
091-      20
092-       1
093-      40
094-   43 12
095-       4
096-       2
097-      48
098-       3
099-       9
100-       7
101-       0
102-       5
103-       6
104-      36
105-       1
106-45,40, 7
107-      11
108-      10
109-      20
110-45,30, 0
111-   43 32

÷
RCL× 8 
ENTER
R↓
R↓
×
8
RCL÷ 7
14

+
11

÷
R↑
×
ENTER
R↓
x²
+
√x
R↑
+
×
1
+
LN
42.397056








ENTER
1
RCL+ 7
√x
÷
×
RCL- 0
RTN

112-42,21,.1
113-       1
114-42, 4, 7
115-   44 25
116-   45  1
117-   32 .0
118-45,40, 0
119-45,10, 0
120-      15
121-42, 4,25
122-   44  7
123-   45 25
124-   43 32

LBL .1
1
x<> 7
STO  i
RCL  1
GSB .0
RCL+ 0
RCL÷ 0 
1/x
x<>  i
STO 7
RCL  i
RTN

125-42,21,14
126-      36
127-45,10, 8
128-      48
129-       9
130-       6
131-      16
132-      20
133-      12
134-      48
135-       4
136-       8
137-      16
138-      20
139-       1
140-      40
141-45,20, 0
142-      36
143-      40
144-   43 32

LBL D  
ENTER
RCL÷ 8
.96


CHS
×
e↑x
.48


CHS
×
1
+
RCL× 0
ENTER
+
RTN

Formulas used

Microstrip charactoristic impedance [1]
Micro-strip-line impedance
where,
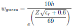
Effective width
Initial guess of the microstrip line width
Initail guess of the width

Example

Synthesize
Input
R7 = 4.5  	εr
R8 = 0.2  	height [mm]
R9 = 0.018 	thickness [mm]
x  = 50   	Z [Ω]
Output
R 1: 0.3583608 	width [mm]
R i: 0.553140 	1/√εeff

y  : 0.5531403	1/√εeff
x  : 0.3583608	width [mm]

REFERENCES

  1. H. A. Wheeler, "Transmission-line properties of a strip on a dielectric sheet on a plane",
    IEEE Trans. Microwave Theory Tech., vol. MTT-25, pp.631-647, Aug. 1977.
  2. R. J. Douville and D. S. James, "Experimental study of symmetric microstrip bends and their compensation",
    IEEE Trans. Microwave Theory Tech., vol. MTT-26, pp. 175-182, Mar. 1978
  3. James A. Mears, "Transmission Line RAPIDESIGNER Operation and Applications Guide",
    National Semiconductor Application Note, AN-905, May.1996

SEE ALSO

for the HP 42S - Synthesize/Analyze microstrip transmission line
for the HP 32sII - Synthesize/Analyze microstrip transmission line
Online calculator - Synthesize/Analyze microstrip transmission line
Ostrowski's method

www.finetune.co.jp [Mail] yokohamaat finetune dotco dotjp © 2000 Takayuki HOSODA. Powered by
 Finetune