Input
Fig.1 Triangulation
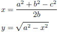
- Var a: Distance from P1 to P0
- Var b: Distance from P1 to P2 (Baseline length)
- Var c: Distance from P2 to P0
- Var x: x-coordinates of the point P0
- Var y: y-coordinates of the point P0
- REG t: the angle P0-P1-P2
- REG z: distance from P1 to P0
- REG y: y-coordinates of the point P0
- REG x: x-coordinates of the point P0
Example
ABCXY - Rev.1.00 : Aug. 1 2011 00 { 116-Byte Prgm } 01 LBL "ABCXY" 02 MVAR "A" 03 MVAR "B" 04 MVAR "C" 05 MVAR "X" 06 MVAR "Y" 07 VARMENU "ABCXY" 08 STOP 09 EXITALL 10 RCL "A" 11 X↑2 12 ENTER 13 ENTER 14 RCL "B" 15 X↑2 16 + 17 RCL "C" 18 X↑2 19 - 20 RCL "B" 21 ENTER 22 + 23 ÷ 24 STO "X" 25 X↑2 26 - 27 SQRT 28 STO "Y" 29 RCL "X" 30 →POL 31 CLA 32 DEG 33 FIX 03 34 "x=" 35 ARCL "X" 36", y=" 37 ARCL "Y" 38
"LFr=" 39 ARCL ST X 40
", ∠=" 41 ARCL ST Y 42
"°" 43 ENG 10 44 RCL "Y" 45 RCL "X" 46 AVIEW 47 RTN 48 .END.
Download
Input a = 80 b = 100 c = 60Output t: 36.869897646E0 z: 80.000000000E0 y: 48.000000000E0 x: 64.000000000E0![]()
'ABCXY-1.0' (abcxy.raw, 119 byte, raw program file for the Free42)



© 2000 Takayuki HOSODA.
Powered by