この記事は、1997-1998 年に作成した測距サブシステムの解説をウェブでの公開用に書き直したものです。車や船舶などをターゲットとして、その距離や位置を計測する際に、 マイクロ波やレーザー光を照射してその反射遅延時間から距離を測定することが 広く行われているが、反射遅延時間を直接測る代わりに送信信号を 変調し、その受信信号の位相のずれから反射遅延時間を求める 場合がある。例えば衝突防止用などターゲットが比較的近い位置にある場合や、 無人自立運転用などで距離の分解能を上げたい場合には、 反射遅延時間を直接測るのが困難であったり、雑音の影響が大きかったり するため、直接時間を測るよりも遅延時間を位相情報に変換してから 測った方が装置化が簡単であったり測定誤差が低減しやすいからである。 弊社製品を例として単相信号による距離と位置の測定について具体的に解説する。
ここで例に上げる単相信号による測距回路は、単相のベースバンド信号で変調した信号を送信 し、ターゲットからの反射や折り返しを受信し復調した信号を、送信側のベースバンド信号とコ ヒーレントな関係にある信号で乗算することを特徴としている。それにより位相情報を保ったまま 信号周波数を下げて信号を扱い易くしてから位相を測り、その位相から距離を求めるようになって いる。図 1 は弊社製品の回路基板 (図 3) で実際に使っている単相位相検出型測距回路の部分ブロッ ク図である。
図 1 : 測距回路ブロック図
![]()
図 1 における TCXO (Temparature compensated Chrystal Oscilator) の出力周波数 f0 を 12.8 MHz とし、これを 214 分周した 781.25 Hz を基準周波数 fr とし ω0 = 2πfr とする。fr の 29 倍の 400 kHz の信号を測定に用いる事とし、これを
とする。ω0 に同期した ω0 の (29 - 1) 倍の信号を VCXO (Voltage controlled oscilator) と PLL (Phase locked loop) により作り、これを… (1)
とする。但し、θ2 はこの VCXO 出力の固定位相と位相雑音とする。ターゲットからの反射信号 は、光速を C 、測定器とターゲット間の距離を ℓ とすると、距離による位相… (2)
と装置内遅延 tpd による位相… (3)
の和だけずれた信号… (4)
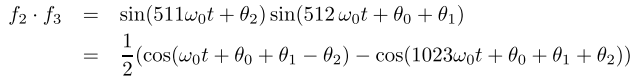
となる。f2と f3 との乗算を行うと… (5)
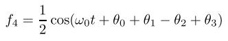
となる。(6) 式の低周波成分である第一項を LPF (Low pass ?lter) により取り出した信号を f4と すると、LPF の位相誤差 θ3 が加わり、… (6)
となる。f4 を基準信号 2π / ω0 周期で動作している f0 クロックのカウンタで位相差を計数し、あら かじめキャリブレーションにより得ている距離が 0 の時の (θ1 - θ2 + θ3) に相当する値 offset を計数値から減算することにより、θ0 分の計数値 count が得られ、距離 ℓ は、… (7)
と求められる。… (8)
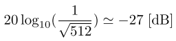
また、この周波数変換により、ターゲットからの反射信号に含まれる位相雑音がガウス雑音だと すると、およそ 1 / √ 512 程度、つまり
程度 S/N 比が改善されていることになる。
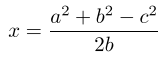
位置は基線上の2箇所からターゲットの距離 を測ることにより求められる。図 2 の X 軸上 に基線を設け、基線上の原点 p1 と距離 b だけ 離れた点 p2 に測距器を置き、ターゲットの位 置 p0 (x, y) からの距離、a と c を測るものと する。
図 2 : 位置測定
p0 を p1 , p2 を中心とした半径 a と c の交点 のうち y ≥ 0 のものとすると、
と表されるので、式 (9), (10) より… (9)
… (10)
また、三平方の定理より、… (11)
となり、式 (11), (12) により (x, y) が得られる。… (12)
図 3 の回路と市販のミリ波トランシーバと組み合わせて構成した無人運転の実験システムの例では、 基線長 b = 100 m、対象範囲 100 m × 100 m において、 カウンタの分解能は約 23 mm 相当であるが、 ノイズによる誤差拡散と平均処理により mm オーダーの分解能まで得る事ができている。
図 3 : ベースバンド信号処理回路例 (Finetune F0005 測距サブシステム, 1997–1998)実用的な測定時間は平均回数にもよるが 100 ms 〜 1 s 程度となっている。
![]()
© 1997 Takayuki HOSODA, Finetune co., ltd.このレンジング・サブシステムは受注生産品として弊社、有限会社ファインチューンより購入できるようになっており、 その性能と信頼性を生かし特に産業分野において幅広く活用されることを願ってやまない。
http://www.finetune.co.jp/
![]()



© 2000 Takayuki HOSODA.