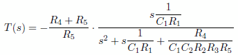
Input
- Var R1: Resistance [Ω]
- Var R2: Resistance [Ω]
- Var R3: Resistance [Ω]
- Var C1: Capacitance [F]
- Var C2: Capacitance [F]
- REG 00: ω ‐ Natural angular frequency [rad/s]
- Var Q: Q ‐ Quality factor
- Var f: fc ‐ Center frequency [Hz]
- REG z: ω ‐ Natural angular frequency [rad/s]
- REG y: fc ‐ Center frequency [Hz]
- REG x: Q ‐ Quality factor
Example
BPFFL - Rev.1.00 : Aug. 1 2011 00 { 97-Byte Prgm } 01 LBL "BPFFL" 02 MVAR "R1" 03 MVAR "R2" 04 MVAR "R3" 05 MVAR "C1" 06 MVAR "C2" 07 VARMENU "BPFFL" 08 STOP 09 EXITALL 10 RCL "C1" 11 RCL× "C2" 12 RCL× "R2" 13 RCL× "R3" 14 SQRT 15 1/X 16 ENTER 17 STO 00 18 2 19 PI 20 × 21 ÷ 22 STO "F" 23 X<>Y 24 RCL× "C1" 25 RCL× "R1" 26 STO "Q" 27 CLA 28 "Fc=" 29 ARCL "F" 30"LFQ=" 31 ARCL "Q" 32 AVIEW 33 RTN 34 .END.
Input R1 = 330e3 R2 = 33e3 R3 = 11e3 C1 = 10e-9 C2 = 10e-9Output z: 5.2486388108E3 y: 835.34681125E0 x: 17.320508076E0![]()



© 2000 Takayuki HOSODA.
Powered by