

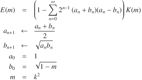
The calculation is performed using the relationship between Complete Elliptic Integrals of the Second Kind and the Arithmetic Geometric Mean.
cEllipticE-1.0.tar.gz — The complete elliptic integral of the second kind. Rev.1.0 (Jan. 17, 2023) (c) 2022 Takayuki HOSODA
cEllipticE.c NAME _cEllipticE -- returns the complete elliptic integral of the second kind. LIBRARY Math library (libm, -lm)\n\ SYNOPSIS #include <math.h> #include <complex.h> #include <float.h> double complex _cEllipticE(double complex k); RETURN VALUE _cEllipticE(k) returns the complete elliptic integral of the second kind K(k).
Formulas used/* cEllipticE - The complete elliptic integral of the second kind * Rev. 1.01 (Jan. 28, 2026) (c) 2022-2026, Takayuki HOSODA * SPDX-License-Identifier: BSD-3-Clause */ #include <math.h> #include <complex.h> #include <float.h> double complex _cEllipticE(double complex m); /** The complete elliptic integral of the second kind _cEllipticE(m) returns the complete elliptic integral of the second kind E(m) The argument m is the parameter m = k^2, where k is the elliptic modulus. K(m) &=& \int_0^{\pi / 2} \sqrt{1 - m \sin^2 \theta}\ d \theta */ double complex _cEllipticE(double complex m) { double complex a, b, s, c, p; double q, r; int i = 0; /* iteration counter */ int ITER = 60; a = 1.0; if (m == a) return a; b = csqrt(a - m); s = 1.0 - (a + b) * (a - b) * 0.5; /* sum, n = 0 */ c = 1.0; /* coefficient of powers of 2 */ r = DBL_MAX; do { q = r; p = s; m = csqrt(a * b); a = (a + b) * 0.5; b = ((cabs(a + m) == cabs(a - m)) && (cimag(m / a) > 0)) || (cabs(a + m) < cabs(a - m)) ? -m : m; s -= c * (a - b) * (a + b); c = c + c; if (++i > ITER) break; r = cabs(s - p); /* correction radius */ } while (r != 0 && q > r); /* convergence check */ /* Urabe's method is used to determine convergence, and assuming that the * arithmetic-geometric mean part converges faster than the series part, * convergence is determined only by the convergence of the series part. */ return M_PI * s / (a + b); } #ifdef DEBUG #include <stdio.h> #include <stdlib.h> char * help = "Name\n\ cEllipticE -- returns the complete elliptic integral of the second kind.\n\ Rev. 1.0 (Jan. 17, 2023) (c) 2022, Takayuki HOSODA (aka Lyuka)\n\ Usage\n\ cEllipticE m.re\n\ cEllipticE m.re m.im\n\ cEllipticE range_re range_im samples\n"; int main(int argc, char *argv[]) { double complex m; double complex c; double x, y; int n = 801; int r, j; if (argc == 2) { m = (atof(argv[1])); c = _cEllipticE(m); if (cimag(c) == 0) { printf("_cEllipticE(%.16g) ~= %.16g\n", creal(m), creal(c)); } else { printf("_cEllipticE(%.16g) ~= %.16g%+.16gi\n", creal(m), creal(c), cimag(c)); } }else if (argc == 3) { m = (atof(argv[1]) + I * atof(argv[2])); c = _cEllipticE(m); printf("_cEllipticE(%g %+gi) ~= %.16g %+.16gi\n", creal(m), cimag(m), creal(c), cimag(c)); } else if (argc == 4) { x = atof(argv[1]); y = atof(argv[2]); n = atof(argv[3]); if (n < 10) n = 10; printf("#Computed by \"_cEllipcK Rev.1.0 (Jan. 17, 2023) (c) 2022, Takayuki HOSODA (aka Lyuka)\n"); for (r = 0 ; r <= n; r++) { for (j = 0 ; j <= n; j++) { m = (-x * r + (n - r) * x) / n + I * ((-y * j + (n -j) * y) / n); c = _cEllipticE(m); printf("%.16g\t%.16g\t%.16g\t%.16g\n",creal(m), cimag(m), cabs(c), carg(c)); } printf("\n"); } } else { printf("%s\n", help); } return(0); } #endif
_cEllipticE(0) ~= 1.570796326794897 _cEllipticE(0.25) ~= 1.467462209339425 _cEllipticE(0.5) ~= 1.350643881047667 _cEllipticE(0.99) ~= 1.015993545025225 _cEllipticE(1) ~= 1 _cEllipticE(-1) ~= 1.910098894513857 _cEllipticE(2) ~= 0.5990701173677973+0.5990701173677941i _cEllipticE(0.25 +0.25i) ~= 1.473879994036591 -0.1082796079933554i _cEllipticE(1 +1i) ~= 1.283840957898245 -0.5317843366915171i _cEllipticE(-1 -1i) ~= 1.938813920750762 +0.2934621483557033i
E(0) ~= 1.570796326794896619 E(0.25) ~= 1.467462209339427155 E(0.5) ~= 1.350643881047675503 E(0.99) ~= 1.015993545025223936 E(1) ~= 1 E(-1) ~= 1.910098894513856009 E(2) ~= 0.599070117367796104 + 0.599070117367796104i E(0.25 +0.25i) ~= 1.473879994036592246 - 0.108279607993355404i E(1 + i) ~= 1.283840957898244583 - 0.531784336691518627i E(-1 + i) ~= 1.938813920750761868 - 0.293462148355703310i



© 2000 Takayuki HOSODA.